Había ya algunas pistas de que el modelo de Bohr podía ser superado o reemplazado por otro modelo que prescindiera de las cantidades manejadas por el modelo de Bohr que eran en principio inobservables. En la obtención de su modelo, Bohr había hecho uso en 1913 de algunas relaciones sobre las cuales se fundamenta el principio de correspondencia, el cual requiere que para números cuánticos grandes las relaciones predichas por el modelo deben concordar con las relaciones clásicas. Esto lo veremos a continuación en mayor detalle.
De acuerdo al principio de correspondencia, se requiere que la frecuencia cuántica:
que designaremos como ν, en donde n y τ son enteros positivos, se corresponda con una frecuencia clásica:
emitida de acuerdo con la teoría clásica que predice dicha radiación cuando una carga eléctrica está siendo acelerada. Se requiere que las dos relaciones entre la energía E y la frecuencia se vayan aproximando más y más la una a la otra conforme el número cuántico n vaya aumentando. En pocas palabras, se requiere que:
Si tomamos como punto de partida el dato de que un quantum de energía está dado por:
entonces, haciendo a la energía cuántica E una función del número cuántico n, y haciendo a su vez la frecuencia ν una función de la energía clásica E, podemos suponer la existencia de alguna función desconocida f(n) que haga que el resultado cuántico se apareje con el resultado clásico, o sea:
Despejando:
Tomando la derivada de la función con respecto a n:
Por lo tanto, usando la comilla super-índice para denotar la diferenciación:
en donde se ha hecho:
Para valores grandes del número cuántico n, ΔE/h tiende entonces a ν(E), o sea:
si el factor que está afuera de los paréntesis cuadrados es igual a la unidad, o sea:
Siendo así, tenemos cualquiera de las siguientes expresiones a escoger:
Es posible entonces, en principio, poder calcular E(n) de ν(E), con la ayuda de una constante arbitraria de integración. Si consideramos una serie de potencias, se tiene el resultado simple:
Esto dá:
y por lo tanto:
Sin entrar en mayores detalles, se asentará aquí que para el caso del oscilador armónico simple se tiene para la potencia r.=.0 con E.=.hνn, mientras que para el rotor rígido (una “mancuerna” formada por dos partículas girando en torno al eje perpendicular al eje que las une) se tiene para la potencia r.=.1/2 con E.=.hνn/2, mientras que para una partícula sometida a un campo de potencial central de naturaleza Coulómbica (eléctrica) se tiene para la potencia r.=.3/2 con lo cual E.=.-hνn/2.
Todo esto puede ser simplificado en forma considerable. La frecuencia:
que es radiada de acuerdo a la teoría cuántica, puede ser escrita con la ayuda de las siguientes aproximaciones:
de la siguiente manera:
para números cuánticos grandes. En el límite, esto concuerda con la frecuencia clásica τν(E), si:
Esto último es conocido en algunos textos como la condición cuántica de Hasenöhrl, en memoria de Friedrich (Fritz) Hasenöhrl (el cual varios estudiosos sostienen que se adelantó a Einstein en el descubrimiento de la famosa fórmula que dá la equivalencia entre la masa y la energía, E.=.mc2, aunque esta no fue una conclusión basada en la filosofía relativista con la cual es posible derivar teóricamente no solo dicha equivalencia sino muchas otras relaciones importantes de carácter relativista que no se pueden obtener recurriendo a los argumentos de naturaleza termodinámica esgrimidos por Hasenöhrl).
Con esto, Bohr pudo llevar a cabo la comparación entre el conjunto de las frecuencias de un movimiento periódico clásico con frecuencia τν(E) y las frecuencias de las líneas espectrales observadas:
en donde esta última expresión se va aproximando más y más a la forma:
para números cuánticos n grandes.
La línea de razonamiento utilizada por Bohr no era muy diferente a la línea de razonamiento que se requería para poder llegar a un nuevo modelo más efectivo. Sin embargo, para poder dar el salto del modelo atómico planetario de Bohr a otro modelo más satisfactorio era necesario introducir un nuevo punto de vista conceptual, lo cual requería meter una nueva perspectiva matemática en el asunto. Y esta nueva visión sería dada precisamente por las expansiones de funciones en términos de las series infinitas de Fourier, con lo cual se podía llegar por la vía directa a un nuevo tipo de Mecánica, la Mecánica Matricial.
La Mecánica Matricial tiene el atractivo innegable de que para poder entenderla no es necesario recurrir a las herramientas del cálculo infinitesimal. Basta con un conocimiento elemental de álgebra y del tema de los vectores y las matrices para poder desarrollar muchas cosas dentro de este tipo de análisis de los fenómenos mecánico-cuánticos, lo cual hace a la Mecánica Matricial un candidato idoneo para una introducción formal al tema sin tener que involucrarse con infinitésimos. Sin embargo, para poder justificar las relaciones matriciales fundamentales, específicamente, la “extraña ecuación” de Max Born en su forma matricial, es necesario recurrir al análisis de las series de Fourier (esta es la razón por la cual se introdujo en la entrada previa el tema del análisis de Fourier), aunque una vez que se ha proporcionado tal justificación podemos prescindir del análisis de Fourier entrando de lleno en las aplicaciones prácticas de la Mecánica Matricial. Todo esto puede ser comprendido mejor llevando a cabo una reconstrucción de la historia sobre cómo se llegó a la relación fundamental que conduciría al descubrimiento de la “extraña ecuación de Born”, la regla de multiplicación de Heisenberg.
Luego de padecer un ataque severo de asma producida por el heno en el ambiente, el físico-matemático alemán Werner Heisenberg por recomendación de Max Born se trasladó a la isla de Helgoland, situada en el Mar del Norte. Durante su estancia en dicha isla, tuvo un momento de inspiración que lo llevó al descubrimiento de algo que no había sido detectado previamente por nadie, lo cual fue revelado al mundo en un papel considerado de importancia histórica trascendental, publicado en julio de 1925. El descubrimiento dejó una impresión profunda en Heisenberg, según nos lo relata el mismo Heisenberg en sus siguiente palabras tomadas del libro “Alrededor del cuanto” de L. Ponomariov:
Por fin llegó la tarde cuando pude abordar el cálculo de energías de miembros aislados en la tabla energética o, como se suele decir ahora, en la matriz de energía. Estaba tan excitado…que no podía concentrarme y comencé a hacer en los cálculos un error tras otro. Sólo hacia las tres de la madrugada logré obtener el resultado final. En el primer instante me asusté…Al pensar que llegué a ser dueño de todos estos tesoros –elegantes estructuras matemáticas que la naturaleza había abierto ante mí- me faltó la respiración. Ni pensar podía en dormir. Comenzaba a despuntar el alba. Salí de casa y me dirigí al extremo sur de la isla, donde se adentraba en el mar una roca solitaria…Sin grandes esfuerzos vencí la altura y en su cima esperé la salida del Sol.
Desde un principio, Heisenberg rechazó las nociones clásicas de posición y velocidad (momentum) aplicadas a los electrones de los átomos, nociones clásicas cuyo alcance había sido extendido por teóricos como Bohr al mundo sub-microscópico, no sólo porque tales cantidades eran inobservables en el sentido de que, hasta la fecha, nadie había podido observar ni medir directamente tales cosas como las distancias de los electrones al centro del núcleo atómico o la velocidad de un electrón girando en torno al núcleo, sino también por el fracaso práctico de cualquier teoría que suponía que esas cantidades clásicas pudieran ser observables. Fue así como Heisenberg abandonó las cantidades propias de la cinemática clásica, reemplazándolas con cantidades ópticas observables tales como la frecuencia (la cual es susceptible de poder ser medida con bastante precisión a través de los espectrómetros) y como la intensidad (que también puede ser medida).
De cualquier manera, para poder llegar a los resultados que obtuvo, Heisenberg partió al igual que Bohr de la observación que había sido formulada por Bohr en 1913 como algo que tenía que ser necesariamente cierto, el principio de correspondencia, el cual repetiremos aquí dándole la importancia que merece:
“En el límite de los números cuánticos grandes, los cálculos clásicos y los cálculos cuánticos deben producir los mismos resultados.”
Esto debe ser cierto siempre, porque de no serlo, la Mecánica Cuántica proporcionaría para el mundo macroscópico predicciones distintas que estarían en contraposición directa con lo que hemos comprobado y hemos aprendido de los fenómenos físicos macroscópicos en nuestra experiencia cotidiana. Las reglas para el mundo sub-microscópico podrán ser diferentes de las reglas para el mundo macroscópico, pero debe haber una transición “suave” que haga posible “unir” ambos mundos en la borrosa región intermedia que los separa. Es importante destacar que la extensión es posible en una sola dirección, es decir, para números cuánticos grandes es posible obtener de los resultados válidos en el mundo sub-microscópico resultados que coincidirán en todo con lo que predice la física clásica, pero no es posible ir de la física clásica válida en el mundo macroscópico hacia la física cuántica válida en el mundo sub-microscópico. No es posible obtener la Mecánica Cuántica de la física clásica.
PROBLEMA: Sabiendo que los niveles de energía para un átomo de hidrógeno están dados por la siguiente expresión (en unidades CGS-Gaussianas):
siendo:
calcúlese la frecuencia de la radiación emitida cuando un átomo salta del estado n+1 al estado n usando para ello la relación de Bohr:
Aplicando directamente una relación sobre la otra, tenemos lo siguiente:
Esto se puede simplificar con un poco de álgebra permitiéndonos llegar a la siguiente expresión:
En el límite de los números cuánticos grandes para los cuales podemos tomar n»1, es fácil ver que la expresión anterior se reduce a:
Pero esta es precisamente la misma frecuencia que esperaríamos obtener clásicamente de una carga eléctrica no “saltando” de un nivel de energía discreto a otro sino de una carga eléctrica acelerada girando en rotación alrededor de una órbita circular, o sea la frecuencia de rotación (el número de vueltas por segundo en torno al núcleo atómico que dá el electrón), y es importante tener presente esta distinción en todo momento. La frecuencia νn designada como “clásica” (pese al hecho de estar referenciada a cierto nivel de energía En asociado con cierto número cuántico grande n) es una frecuencia de rotación orbital, mientras que la frecuencia νn,n-τ designada como “cuántica” es la frecuencia de la radiación del fotón luminoso emitido al caer de un estado n a un estado n-τ. Designando a la frecuencia clásica de rotación como νn, esto nos permite establecer la siguiente correspondencia entre el resultado cuántico y el resultado clásico:
PROBLEMA: Calcúlese la frecuencia de la radiación emitida cuando un átomo salta del estado n+τ al estado n usando para ello la relación de Bohr.
La solución de este problema reproduce los mismos pasos que los empleados para resolver el problema anterior, excepto que en el problema anterior teníamos el caso particular τ = 1, lo cual se aplica a un salto entre dos niveles de energía contiguos, y el cual está siendo generalizado ahora para cualquier número entero positivo τ:
Nuevamente, en el límite de los número cuánticos grandes, la relación obtenida se reduce a:
Obsérvese que lo subrayado con el corchete inferior es esencialmente la frecuencia clásica de radiación que ya había sido destacada en el problema anterior. El resultado nos dice que cuando el “salto” ocurre de cualquier nivel de energía n+τ a cualquier otro nivel de energía n el resultado cuántico será igual al resultado clásico multiplicado por el factor entero τ. De este modo, para este problema en particular, podemos establecer la siguiente correspondencia entre el resultado cuántico y el resultado clásico:
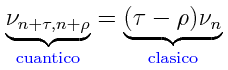
PROBLEMA: Calcúlese la frecuencia de la radiación emitida cuando un átomo salta del estado n+τ al estado n+ρ usando para ello la relación de Bohr.
Para este problema suponemos implícitamente que el entero n+τ es mayor que el entero n+ρ.
La solución de este problema reproduce los mismos pasos que los empleados para resolver los dos problemas anteriores:
En el límite de los números cuánticos grandes, que aquí equivale a suponer que n»τ y con ello ciertamente que n»ρ, tenemos entonces la siguiente correspondencia entre el resultado cuántico y el resultado clásico:
Como puede verse, del principio de correspondencia de Bohr podemos obtener varias relaciones que a su vez pueden considerarse como principios de combinación para los espectros atómicos, como la siguiente regla:
En la primera línea empezamos con lo que es esencialmente una igualdad matemática; en la segunda línea pasamos uno de los términos del lado derecho hacia el lado izquierdo, teniendo en esencia una expresión “clásica”, mientras que en la tercera línea tenemos el resultado de haber aplicado el principio de correspondencia de Bohr. Si se nos diese la tercera línea sin la forma en la cual fue obtenida (las dos líneas previas), el resultado podría parecer al principio algo desconcertante, pero repasando la forma en la que se obtuvo esta “regla” podemos ver que todas las demás reglas de este tipo no tienen misterio alguno.
En todo esto se daba por hecho que si los átomos interactuaban a través de su radiación con las frecuencias cuánticas νn+τ,n producidas al saltar de un nivel de energía superior a un nivel de energía inferior en el caso de emisión (o, lo que es lo mismo, a través de las frecuencias cuánticas νn,n-τ que también representan un salto de un nivel de energía superior a un nivel de energía inferior) y no con las frecuencias clásicas que eran usadas para calcular los estados estacionarios, τν(E), esto también debería ser cierto entre los varios niveles interiores de energía del átomo.
El método de Bohr para convertir una cantidad clásica a una cantidad cuántica puede ser extendido a funciones arbitrarias F(I) de acuerdo con la prescripción:
Para cantidades F que no sólo dependen de un número I (que podría denotar una intensidad relativa) sino que también dependen de un entero positivo τ cuya contraparte cuántica estaría asociada con una transición atómica (n+τ,n), parece razonable establecer la correspondencia de la transición de acuerdo con la siguiente receta:
en donde la cantidad cuántica M(n+τ,n) se corresponde con la cantidad clásica F(I,τ).
Heisenberg, desde luego, no se apoyó única y exclusivamente en el principio de correspondencia de Bohr. Ya un año atrás, en julio de 1924, el físico holandés Hendrik A. (Hans) Kramers había formulado su teoría de dispersión, sugieriendo que únicamente cantidades observables fuesen admitidas en dicha teoría, nada de radios atómicos ni velocidades de rotación alrededor del núcleo atómico. Esto fue formalizado en un trabajo conjunto publicado en diciembre de 1924 por Kramers y Heisenberg en donde se dió a conocer la fórmula de dispersión Kramers-Heisenberg. De aquí es de donde Heisenberg sacó la idea de basar su modelo única y exclusivamente en cantidades capaces de ser observadas o medidas de alguna manera. El descubrimiento de la fórmula de dispersión Kramers-Heisenberg fue considerado un logro importante cuando fue publicada, explicando la noción de la “absorción negativa” (emisión estimulada), todo lo cual fue encajado con la regla de sumación Thomas-Reiche-Kuhn (también conocida como regla de suma-f):
que afirma que “la suma de los valores-f (o fuerzas relativas de los osciladores) de las transiciones atómicas de absorción de un átomo en cierto estado menos la suma de los valores-f de las transiciones de emisión en ese estado es igual al número de electrones que toman parte en estas transiciones” (la fórmula se ha dado arriba en la notación moderna de los bra-kets de Dirac que serán estudiados posteriormente, los cuales resaltan la naturaleza matricial de la suma).
Si hemos de ser honestos y sinceros, es necesario reconocer que Heisenberg no partió (como acostumbran hacerlo los matemáticos puros) de un conjunto finito de axiomas y postulados combinándolos de modo tal que le permitieran obtener sus conclusiones finales. Heisenberg no obtuvo la Mecánica Matricial procediendo axiomáticamente de una manera rigurosamente formal; por el contrario, cuando llegó a la isla de Helgoland su mente era un bullicio de ideas vagas e inconexas. Aunque Heisenberg no dejó un recuento exacto y fiel sobre cómo fue que llegó a su “regla de multiplicación” con la cual se fundó la Mecánica Matricial, podemos conjeturar que una de las primeras cosas que se le ocurrió hacer fue algo sencillo que posiblemente a otros ya se les había ocurrido hacer sin sacar nada en firme, empezando con la relación de Bohr que proporciona la energía para cada nivel en el átomo de hidrógeno:
obteniendo a partir de la misma las energías de los fotones luminosos que se producen (en los espectros de emisión) o que se absorben (en los espectros de absorción) como consecuencia de las transiciones del electrón en el átomo de hidrógeno de un estado energético a otro:
Lo que podemos conjeturar que hizo primero fue acomodar estas energías obtenidas de las transiciones de un nivel energético a otro en algo que hoy podríamos llamar una “tabla de Heisenberg”:
De este modo, en el segundo renglón y en la primera columna se escribe la energía que corresponde a la del fotón luminoso involucrado en una transición del estado E1 al estado E2, o sea E1→2, mientras que en el segundo renglón y en la cuarta columna se escribe la energía que corresponde a la del fotón luminoso involucrado en una transición del estado E4 al estado E2, o sea E4→2. En el primer caso, podemos adoptar la convención de que el valor será negativo como corresponde al hecho de que para poder elevar al electrón del estado n = 1 al estado n = 2 es necesario suministrar energía en la forma de un fotón, mientras que en el segundo caso el valor será positivo como corresponde al hecho de que en su descenso del estado n = 4 al estado n = 2 el electrón liberará energía con la emisión de un fotón. Esto está de acuerdo con la insistencia de Heisenberg de hacer hincapié en darle prioridad a las observables que se pueden medir directamente (y en el caso de las energías éstas se pueden medir con bastante precisión) ignorando por completo aquellas variables del modelo atómico planetario de Bohr que no son susceptibles de ser observadas (como los “radios” de cada uno de los niveles energéticos). Obviamente, una tabla de este tipo en principio vendría siendo una tabla infinitamente grande como infinito es el número de estados energéticos posibles en el átomo de Bohr, y tenemos que contentarnos con el siguiente paso lógico que consiste en poner algunos valores numéricos en la tabla:
Esto, desde luego, no nos lleva a nada con lo que no hayamos estado familiarizados previamente, pero es un buen principio. El siguiente paso lógico consiste en escribir dentro de la tabla no las energías de los fotones sino sus frecuencias, lo cual también es válido dentro de la filosofía de Heisenberg ya que las frecuencias de los fotones luminosos son también observables que podemos medir con bastante precisión cuando estamos equipados con un espectógrafo de alta resolución:
Obviamente, al poner valores numéricos en esta tabla confirmaremos que la tabla será necesariamente simétrica con respecto a la diagonal principal, ya que:
f.4→2 = f.2→4
siendo la única diferencia (no numérica) el que un valor representa la frecuencia que se obtiene del espectro de emisión mientras que el otro valor representa la frecuencia del fotón que se obtiene del espectro de absorción. A diferencia de la tabla de Heisenberg para las energías, en esta tabla todas las entradas serán positivas ya que no existen frecuencias negativas, excepto, tal vez... en las representaciones de Fourier de funciones periódicas mediante series trigonométricas infinitas. Al llegar a este punto no encontramos en una etapa crucial en la que la respuesta casi salta a hacia nuestra vista si tenemos la agudeza para establecer la conexión requerida.
Podemos conjeturar que una vez construída esta última tabla, la cual es infinitamente grande al ser imposible meter en ella todos los valores posibles, Heisenberg intentó descubrir algún patrón matemático sencillo que relacionara los valores. Al no obtenerlo, procedió a construír otras tablas a sabiendas de que en problemas clásicos sencillos como en el caso del oscilador armónico simple las frecuencias de oscilación del oscilador y las energías están relacionadas mediante relaciones matemáticas sencillas con el desplazamiento de la partícula y el momentum de la misma. Esto resultó ser un trabajo sumamente laborioso (en aquellos años no había calculadoras científicas de bolsillo, lo más que se tenían eran reglas de cálculo de precisión sumamente limitada) para el cual Heisenberg no habría tenido tiempo de no haber estado convalesciente de su fiebre de heno en la isla de Helgoland. Podemos estar seguros de que a partir de las tablas anteriores fue obteniendo otras tablas, hasta que en cierto momento se le ocurrió representar algunos de los resultados obtenidos con la ayuda de series ortogonales infinitas, esto es, series de Fourier, utilizando para ello series de Fourier sobre dos variables como se requiere para el caso específico de tablas con entradas verticales y horizontales. A partir de ese momento y casi sin darse cuenta de ello, el problema estaba resuelto. Sin embargo, tal vez por la fatiga y por la convalescencia, no se le ocurrió en ese entonces a Heisenberg que la regla que obtendría como resultado de sus tablas pudiera ser obtenida considerando a las tablas no como simples tablas sino como matrices. El mérito de tal descubrimiento le correspondería a otros. Sin embargo, tenía suficiente material en su cabeza como para poder asentar lo que ya había hecho sobre bases más firmes como las que veremos a continuación.
Antes del advenimiento de la Mecánica Matricial, la “vieja” teoría cuántica de Bohr describía el movimiento de una partícula mediante una órbita clásica poseyendo una posición X(t) y un momentum P(t) bien definidos, imponiéndose la restricción de que la integral de tiempo sobre un período del momentum debía ser un múltiplo entero de la constante de Planck (la condición de cuantización de Sommerfeld):
Aún y cuando esta restricción selecciona correctamente órbitas con más o menos los valores correctos de energía En, el formalismo de la mecánica cuántica vieja era incapaz de poder describir procesos dependientes del tiempo tales como la absorción y la emisión de radiación.
Cuando una partícula clásica está debilmente acoplada a un campo de radiación, de modo tal que el amortiguamento por radiación pueda ser ignorado, emitirá radiación en un patrón que se repetirá a sí mismo en cada período orbital. Las frecuencias que forman a la onda luminosa (el fotón) emitida serán entonces múltiplos de la frecuencia orbital, y esto es un reflejo de que X(t) es periódico, de modo tal que su representación en series de Fourier contendrá únicamente armónicas de frecuencias 2πn/T:
Las amplitudes (o coeficientes) respectivas de cada término, los Xn, son números complejos. Este es precisamente el paso crucial necesario para que Heisenberg pudiera obtener los resultados que obtuvo, recurrir a las series de Fourier. Esta es una de las razones (aunque no la única) por la cual antes de entrar en detalle sobre la derivación de la “regla de multiplicación de Heisenberg” tuvimos que tratar con anterioridad en esta obra y en cierto detalle el asunto de las series de Fourier.
Repasemos bien lo que se ha enunciado arriba. En la física clásica cualquier cantidad ξn (siendo n un entero positivo) puede ser representada mediante una expansión llevada a cabo en una serie infinita de Fourier:
en donde τ = 0, 1, 2, 3, ...
La expansión Fourier explícita de lo de arriba mostrándose algunos de los términos de la misma es la siguiente:
ξn = ... - x(n,-2) e2πiν(n,-2) t - x(n,-1) e2πiν(n,-1) t + x(n,0) e2πiν(n,0) t
+ x(n,1) e2πiν(n,1) t + x(n,2) e2πiν(n,2) t + x(n,3) e2πiν(n,3) t + ...
+ x(n,1) e2πiν(n,1) t + x(n,2) e2πiν(n,2) t + x(n,3) e2πiν(n,3) t + ...
Como puede verse en la representación que hemos empleado para la expansión en series de Fourier, cada ν-ava componente armónica ξ(n,τ) de la serie tiene una amplitud x(n,τ), y la frecuencia que le corresponde en el espectro de frecuencias de Fourier será un múltiplo de la frecuencia fundamental ν:
Obsérvese con detenimiento que tenemos aquí un hecho fortuito, si lo comparamos con uno de los resultados que obtuvimos previamente por una ruta distinta mediante el principio de correspondencia de Bohr:
En realidad, aquí está la clave de todo.
Así como el principio de correspondencia de Bohr enuncia que para números cuánticos grandes la frecuencia teórico-cuántica νn,n-τ se corresponde con una frecuencia clásica ν(n,τ), Heisenberg asumió que una cantidad teórico-cuántica An,n-τ se corresponderá con la amplitud Fourier A(n,τ). En otras palabras:
Si: ν(n,τ) se corresponde con νn,n-τ
entonces: A(n,τ) se corresponde con An,n-τ
entonces: A(n,τ) se corresponde con An,n-τ
Heisenberg supuso que el conjunto de elementos:
bien podía ser escogido como la representación teórico-cuántica de la cantidad clásica ξn. En pocas palabras:
Aquí tenemos que tomar otro paso crucial preguntándonos lo siguiente: Si tenemos ξn, ¿cómo estará representado ξn² en esta teoría cuántica? ¿Qué es lo que corresponderá con ξn²?
Antes de continuar, tenemos que resolver otro problema más de índole matemática que física. El problema es que las cantidades imaginarias (i = √-1) no pueden ser medidas en el laboratorio, ni se les puede dar interpretación física alguna, sólo a las cantidades reales se les puede dar un significado en el mundo real. Tenemos que deshacernos de todo lo que contenga el número imaginario i, y cuanto antes mejor. Esto lo podríamos llamar nuestro requerimiento de realidad. Una forma de lograrlo es tomando el conjugado complejo de una cantidad para que al llevar a cabo una sumación las componentes reales se sumen mientras que las componentes imaginarias se cancelen. Una forma sencilla de visualizar nuestro requerimiento es con la representación básica de la relación de Euler:
e-iθ = cos(θ) + i sen(θ)
Si tomamos el conjugado complejo en ambos lados de esta igualdad, tenemos entonces:
(eiθ)* = cos(θ) - i sen(θ)
Sumando ambas igualdades miembro a miembro:
e-iθ + (eiθ)*  = 2 cos(θ)
y obtenemos así de este modo una cantidad que ciertamente será real y la cual podremos medir en el laboratorio.
En las series infinitas de Fourier tanto para la coordenada de la posición como para la coordenada del momentum, cada suma es llevada a cabo desde un valor infinitamente negativo de τ hasta un valor infinitamente positivo de τ, y aunque por regla general no es válido comparar dos infinitos, a excepción del caso para el cual τ = 0 podemos suponer que tenemos tantos términos negativos como positivos en cada sumación de Fourier. Con esto en consideración, en nuestros desarrollos podemos deshacernos de los términos imaginarios con el simple hecho de tomar el conjugado complejo ya sea de la posición o del momentum. Born escogió tomar el conjugado complejo de la serie Fourier para la posición, con lo cual su “requerimiento de realidad” para una posición medida a lo largo de una coordenada-x expresada en serie de Fourier como:
viene siendo:
Xn = X-n* 
En palabras, si los coeficientes Xn son números complejos, entonces aquellos apareados con frecuencias negativas en las series de Fourier tienen que ser los conjugados complejos de aquellos apareados con las frecuencias positivas, para que de este modo X(t) siempre sea real.
Ahora bien, puesto que por hipótesis las frecuencias del fotón luminoso que emite una partícula al caer de un estado de energía más alto a un estado de energía más bajo deben ser las mismas que las frecuencias en la descripción Fourier del movimiento, esto sugiere que algo en la descripción dependiente del tiempo de la partícula está oscilando con una frecuencia (En−Em)/h. Heisenberg identificó esta cantidad como Xnm, demandando que ésta se redujese a los coeficientes clásicos de Fourier en el límite clásico (números cuánticos grandes). Para valores grandes de n y m pero con la diferencia n − m mantenida relativamente pequeña, Xnm es el (n−m)-avo coeficiente de Fourier del movimiento clásico para una órbita n. Puesto que Xnm tiene una frecuencia opuesta a Xmn, la condición de que X sea real se convierte en:
Xnm = Xmn* 
Por definición Xnm sólo tiene la frecuencia (En− Em)/h, de modo tal que su evolución temporal es sencilla:
Esto es una forma de enunciar lo que hoy se conoce como la ecuación del movimiento de Heisenberg.
Dados dos arreglos cuadráticos Xnm y Pnm que describen a dos cantidades físicas, Heisenberg pudo formar un nuevo arreglo del mismo tipo combinando los términos XnkPkm, que también oscilan a la frecuencia correcta. Puesto que los coeficientes de Fourier del producto de dos cantidades es igual a la convolución de los coeficientes de Fourier de cada una de las cantidades tomados por separado, la correspondencia con las series de Fourier le permitió a Heisenberg deducir la regla de multiplicación mediante la cual los coeficientes tienen que ser multiplicados:
Puesto de otra manera, después de varias manipulaciones algebraicas directas se descubre que el τ-avo término del conjunto de elementos que representan a ξn² en la correspondencia dada arriba tiene que ser:
o alterntivamente:
Reescribiendo esto de forma tal que adquiera el mayor parecido posible con lo que corresponde a los términos de una expansión de Fourier en donde se multiplica la amplitud de cada uno de los términos por la frecuencia de la armónica que le corresponde, tenemos entonces que la siguiente conclusión:
Por lo tanto:
es la regla de multiplicación que necesitamos para poder obtener x²n,n-τ. Esta es la regla de multiplicación de Heisenberg.
Lo que logró Heisenberg, en efecto, fue obtener una regla a partir de la cual combinando en cierta forma los elementos tomados ordenadamente de dos tablas diferentes representando dos parámetros físicos (tales como la posición y el momentum) era posible construír una tercera tabla conteniendo los valores característicos de un tercer parámetro físico (como la valores cuantizados de la energía característicos del espectro del átomo de hidrógeno):
Al anunciar al mundo su hoy famosa “regla de multiplicación”, Heisenberg sabía lo que tenía entre sus manos, pero en una de las más grandes ironías de la Historia, en realidad no sabía lo que tenía entre sus manos. Si inspeccionamos con algo de detenimiento la “regla de multiplicación”, no tardaremos mucho tiempo en caer en la cuenta de que en realidad se trata de la regla que define cada uno de los elementos que se obtiene de la multiplicación de dos matrices; y si consideramos cada tabla de Heisenberg como una matriz produciéndonos los elementos de una tercera matriz, la relación de un producto matricial salta a la vista. De cualquier modo, al tomar conocimiento de su trabajo, su maestro y colega Max Born junto con Pascual Jordan reconocieron de inmediato que se trataba de la definición de un producto matricial. Darse cuenta de este hecho importante fué lo que puso a Max Born en su camino para obtener a partir de la “regla de multiplicación” de Heisenberg su ya famosa extraña ecuación que pondría a la Mecánica Cuántica Matricial sobre su más sólido cimiento.
La característica más importante del producto de dos matrices A y B, como ya se ha destacado con anterioridad, es que no es conmutativo. El producto matricial AB no es lo mismo que el producto matricial BA, y de hecho de esto es de lo que trata la “extraña ecuación” de Max Born. Visto en retrospectiva, no es inusual que a Heisenberg se le haya escapado de sus manos el hecho de que lo que había obtenido era en esencia el producto de dos matrices, aún y cuando por la notación utilizada términos como Xnm pudieran ser considerados como representativos de matrices. Previamente, antes del advenimiento de la Mecánica Cuántica, no había razón alguna para suponer a priori que cantidades que en la física clásica como la posición y el momentum eran conmutativas dejaran de serlo al ser estudiadas sub-microscópicamente. Se creía que las leyes de la física clásica eran extendibles al mundo sub-microscópico. Fue una verdadera sorpresa que conmocionó a la física hasta sus cimientos el descubrir que las leyes de la física clásica dejaban de operar como tales en el mundo sub-microscópico, y que la conmutatividad que se daba por hecho en todos los parámetros de la física clásica tenía que ser reemplazada por una no-conmutatividad que al principio resultó incómoda.
Pero no sólo no se le ocurrió a Heisenberg el ponerse a pensar que lo que había obtenido con su regla de multiplicación era el producto de dos matrices. Tampoco se le ocurrió repetir el mismo procedimiento, con cambios mínimos, con la coordenada del momentum. Todo su desarrollo estuvo basado sobre la coordenada posición. De haber repetido la receta para la coordenada del momentum, como lo hizo Max Born, habría terminado fundando él sólo toda la Mecánica Matricial. De cualquier manera, no sólo Heisenberg perdió aquí una oportunidad que tal vez haya lamentado posteriormente. Con tan sólo nueve meses de anterioridad antes de la publicación del trabajo de Heisenberg, en octubre de 1924 The Physical Review en los Estados Unidos ya había publicado un trabajo en dos partes de John H. Van Vleck en el que combinando técnicas avanzadas de la mecánica clásica con el principio de correspondencia de Bohr y con la teoría cuántica de la radiación de Einstein logró encontrar los análogos cuánticos de expresiones clásicas para la emisión, absorción y dispersión de la radiación, y de haber presionado un poco más hay pocas dudas de que Van Vleck habría descubierto por cuenta propia la Mecánica Cuántica Matricial, ya que en sus trabajos estaban muchas de las mismas “pistas” utilizadas por Heisenberg para llegar a su “regla de multiplicación”. No hay razones para suponer que Heisenberg pudiera haber estado enterado de estos trabajos de Van Vleck, ya que su línea de pensamiento era algo distinta a la de Van Vleck, pero es muy posible que si Heisenberg no se le hubiera adelantado a Van Vleck éste último habría “dado en el clavo” y se habría llevado consigo el mérito de haber descubierto la Mecánica Matricial. El por qué Van Vleck no se presionó a sí mismo para darle seguimiento a sus propios trabajos sigue siendo uno de los grandes misterios de la Historia de la Ciencia, pero de cualquier manera tal vez lo más importante que se pueda sacar de todo esto es que personas distintas trabajando en distintos países sobre una misma fenomenología eventualmente llegarán a las mismas conclusiones y resultados cuando se trata de leyes naturales universales. Dos más dos será igual a cuatro aquí en la Tierra o en el extremo más alejado del Universo que podamos imaginar.
Si admitimos la posibilidad de que a nivel sub-microscópico los valores que pueda tomar cierta variable física pueden ser representados mediante una matriz a través de los valores propios eigen de la matriz, para una variable como la energía del electrón en el átomo de hidrógeno esta posibilidad se antoja apetecible por el simple hecho de que dicha energía está cuantizada en niveles energéticos discretos. Se le puede asignar a cada nivel energético su propia entrada en la diagonal principal de una matriz de energía que llamaremos H, con todas las demás entradas de la matriz fuera de la diagonal principal puestas a cero. Pero obviamente no todas las cantidades físicas están cuantizadas, siendo la posición de una partícula una de tales variables, pudiendo tomar cualquier valor sobre un espectro continuo de valores posibles. ¿Qué representación matricial deberá dársele a la posición? ¿Qué aspecto podrá tener una matriz que represente a la posición? Algo similar podría decirse acerca del momentum, el cual en principio puede tomar cualquier valor sobre un espectro continuo de valores posibles. ¿Qué representación matricial deberá dársele al momentum? ¿Qué aspecto podrá tener una matriz que represente al momentum? A primera vista, tal cosa no parece posible al no haber matrices con entradas discretas capaces de contener una gama continua de valores que no exhiben en el laboratorio discretización alguna. La situación se complica aún más si consideramos que una cantidad como la energía cinética K de una partícula a la cual se le pueda dar una representación matricial es (clásicamente) una función del momentum de la partícula, específicamente, igual a p2/2m. ¿Cómo puede nacer una cantidad matricial como K de una cantidad aparentemente continua como p, a menos de que p sea también una matriz y no una simple variable continua? ¿Cómo puede nacer algo discreto de algo continuo?
PROBLEMA: Dadas las siguientes dos matrices M y N:
obténgase la matriz que resulta de la siguiente operación:
M·N - N·M
¿Qué conclusión se puede obtener de los resultados?
Efectuando las operaciones indicadas por la expresión, se obtiene el siguiente resultado:
Esto es algo verdaderamente interesante. Las matrices M y N obviamente no son diagonales ni pueden ser diagonalizadas, no pueden representar un conjunto de valores discretos. Sin embargo, combinadas en la manera en que se muestra, entre ambas se las han arreglado para producir una matriz diagonal, la cual posee seis valores propios eigen, dos de ellos (correspondiendo al eigenvalor 8) siendo iguales (a esta ocurrencia de valores repetidos se le llama una degeneración). Con un poco de imaginación y alterando las entradas en las matrices originales M y N, podemos empezar a visualizar una manera en la cual podría producirse una ecuación matricial como la “extraña ecuación” de Born. El modelo dado por las matrices M y N en este problema representa una salida al dilema original, porque al carecer M y N de eigenvalores (como consecuencia de la imposibilidad de diagonalizarlas) dichas matrices, en principio, podrían servir de modelo para representar las matrices que correspondan a la posición (Q) y al momentum (P) que no deben exhibir valores propios eigen para dichas observables físicas. Obviamente, el modelo que tenemos aquí es algo crudo, y tiene que ser refinado. Pero nos muestra estructuralmente que para cada sistema físico debe ser posible definir y combinar una matriz posición Q y una matriz momentum P, ambas representando cantidades continuas no-discretizables, para producir una matriz como la matriz de energía H de un sistema que sí es diagonal o diagonalizable y cuyas entradas serán iguales a los eigenvalores de energía del sistema.
Conforme se fue desarrollando la Mecánica Matricial, al poco tiempo hizo su aparición una nueva rama de la Mecánica Cuántica que vendría a complementar poderosamente la Mecánica Matricial descubierta por Heisenberg, basada en una idea propuesta por Louis de Broglie y asentada teóricamente sobre bases firmes por Erwin Schrödinger. Pero aquí nos estamos anticipando un poco a nuestra historia.



















































 
 
