El factor l(l+1) que aparece en el lado derecho, en donde l es un número entero, en realidad proviene de la solución a la ecuación de onda radial, y cuando se ha obtenido dicha solución es cuando uno se percata de que la introducción del factor l(l+1) desde un principio facilita la solución matemática y la interpretación física de la ecuación de onda diferencial original. La ecuación que tenemos arriba puede ser simplificada si llevamos a cabo el siguiente cambio variables:
u(r) = r R(r)
que nos produce lo siguiente:
con lo cual podemos escribir la ecuación para la función de onda radial de la manera siguiente:
Esta ecuación radial es idéntica en forma a la ecuación de Schrödinger para una dimensión, con la diferencia de que el “potencial efectivo” VE:
contiene un término extra, el término (ħ²/2m)[l(l+1)/r²], que interpretamos como un término centrífugo que tiende a sacar de su órbita al electrón que se mueve en torno al núcleo en una forma muy parecida a como ocurre con la pseudo-fuerza centrífuga que se estudia en la Mecánica clásica.
Para poder resolver la parte radial de la ecuación de onda para un potencial esféricamente simétrico, es necesario definir primero el tipo de potencial que estaremos considerando. El potencial usualmente considerado es el del tipo Coulómbico que es obtenido a su vez de una fuerza de atracción central que varía en razón inversa al cuadrado de la distancia:
Sumando un potencial de tipo Coulómbico -(Ze²/r) al término (ħ²/2m)(l(l+1)/r²) se obtiene un potencial efectivo que hace posible una “órbita” cuántica estable. Clásicamente, el primer término está asociado con la atracción eléctrica entre la carga positiva del núcleo y la carga negativa del electrón, mientras que el segundo término está asociado con la tendencia del electrón a salir disparado de su órbita como resultado de su movimiento en torno al núcleo.
PROBLEMA: Hágase una gráfica de la función potencial:
para los valores enteros de l = 0, 1, 2, 3, 4, yendo desde la absica r = 0 hasta r = 40, y desde la ordenada V(r) = -0.4 hasta V(r) = +0.4.
La gráfica deseada tiene el siguiente aspecto:
Obsérvese que para l = 0 la curva de la función (de color rojo) se colapsa yéndose hacia -∞. Obviamente, l = 0, un potencial Coulómbico “puro” que no está contrabalanceado por un término “centrífugo”, no puede representar una “órbita” estable. En cambio, para l = 1 , representado por la curva de color azul, tenemos lo que puede considerarse en esencia un pozo de potencial, entre cuyas paredes podemos tener al electrón “rebotando” de una pared a otra. Para l = 2, representado por la curva de color café, también tenemos otro pozo de potencial que también nos ofrece otra “órbita” estable, aunque no aparezca claramente en la gráfica.
Anticipándonos a la solución de la ecuación de onda radial de Schrödinger para un potencial de simetría esférica, se asienta aquí que los eigenvalores de energía resultan ser los siguientes (en el sistema de unidades SI-MKS):
Estos eigenvalores de energía para un átomo semejante al hidrógeno en el cual tomamos la masa reducida μ igual a la masa del electrón me, resultan ser exactamente los mismos que los obtenidos mediante la Mecánica Cuántica “vieja”, el modelo atómico planetario de Bohr, y por consiguiente los espectros atómicos que se predicen serán los mismos.
Se puede simplificar un poco la fórmula para los eigenvalores de energía mediante un cambio de sistema de unidades, pasando del sistema SI-MKS al sistema CGS-Gaussiano, el cual nos permite prescindir del factor (1/4πε0). Se acostumbra simplificar aún más metiendo en la fórmula al radio de Bohr a0 (que es esencialmente el radio de la primera órbita que corresponde al estado basal de energía):
Con estas modificaciones, la fórmula para los eigenvalores de energía en el sistema de unidades CGS-Gaussiano es:
Para la obtención de una solución a la ecuación de onda de simetría esférica con un potencial de tipo Coulómbico, resulta conveniente introducir la siguiente variable adimensional (siendo me la masa del electrón):
Este parámetro se puede reescribir de otra manera que nos resultará de utilidad posteriormente:
Otro factor que resulta conveniente definir para simplificar la búsqueda de una solución matemática es el siguiente:
Haciendo estos cambios tenemos entonces la siguiente ecuación diferencial:
En una forma muy parecida a la forma en la cual se obtiene la solución matemática a la ecuación de Schrödinger para el oscilador armónico simple, que eventualmente nos conduce a la necesidad de tener que echar mano de los polinomios de Hermite, consideramos primero una dependencia asintótica de la solución. El comportamiento asintótico de la solución es, tentativamente:
Puesto que la solución a la ecuación de onda debe ser finita en todas partes para que tenga relevancia física, debemos desechar el signo positivo y usar el signo negativo del exponencial. Debido a la preponderancia del exponencial negativo, podemos multiplicar el exponencial por un polinomio y aún así preservar el comportamiento asintótico. Esto nos sugiere buscar una solución que sea finita por doquier en la forma de un polinomio algebraico P multiplicado por un exponencial del tipo arriba indicado:
Si partimos de esta suposición, la ecuación diferencial toma entonces la siguiente forma:
En donde el polinomio P inicialmente es considerado como un polinomio infinito expandido en potencias de ρ:
Esto automáticamente satisface el requerimiento de que el polinomio infinito P(ρ) se desvanezca para ρ = 0 (lo cual tiene que ver con el requerimiento de que la función de onda se desvanezca en el centro o punto de origen del potencial esféricamente simétrico).
Substituyendo el polinomio infinito P(ρ) en la ecuación diferencial de arriba e igualando a cero de la expresión resultante los coeficientes de potencias iguales de ρ, obtenemos:
l(l + 1)A1 = 0
(λ - 1)A1 + [2 - l(l + 1)]A2 = 0
(λ - 1)A1 + [2 - l(l + 1)]A2 = 0
así como la siguiente fórmula recursiva:
[k(k + 1) - l(l + 1)]Ak+1 - (λ - k)A1 = 0___k ≥ 2
De acuerdo con estos resultados, si la serie algebraica del polinomio no termina, como lo hemos supuesto, entonces los cocientes de los términos sucesivos de la serie serán:
Conforme k aumenta sin límite, este cociente va tomando el siguiente valor:
Por otro lado, si llevamos a cabo una expansión de la función exponencial eρ en una serie de Taylor, encontraremos que muestra la misma razón de coeficientes que la que acabamos de obtener en esta última expresión, con lo cual la serie que nos define al polinomio infinito P(ρ) tiene el comportamiento asintótico de eρ si la serie de términos no termina. Esto implicaría que la función de onda u tiene una dependencia asintótica de eρ/2 , lo cual viola el requerimiento esencial de que la función de onda sea finita. Se concluye, como se acaba de demostrar, que la función polinómica P tiene que estar formada por una cantidad finita de términos.
La solución normalizada a la ecuación de onda radial resulta ser algo elaborada, habiendo sido estudiada extensamente en el siglo XIX por el matemático francés Edmond Nicolas Laguerre. Es la siguiente:
En esta solución de la ecuación de onda radial aparece de modo natural el radio de Bohr:
a0 = 0.529 · 10-8 cm.  = 0.529 Angstroms = 0.529 Å
que corresponde en la Mecánica Cuántica “vieja” al radio de la primera órbita del electrón girando en torno al núcleo del átomo de hidrógeno, en el modelo atómico planetario de Bohr.
Obsérvese también que en la solución aparecen dos números enteros, n y l. Este es el origen matemático de dos de los tres números cuánticos requeridos para especificar el estado de un electrón en un átomo hidrogenoide (n, l, m). El número cuántico n es el que está asociado con la distancia entre el núcleo y el electrón, siendo el número cuántico principal, mientras que el número cuántico l surge de la restricción del mismo a causa de la función de onda radial Rnl a los valores:
l = 0, 1, 2, 3, 4, ... , n-1
El factor de normalización de esta ecuación viene directamente de la condición de normalización usual que ya hemos visto en otros ejemplos y problemas anteriores, obtenida de la siguiente manera:
La solución a la ecuación de onda radial que se ha dado arriba está dada en función de los polinomios asociados de Laguerre que se definen de la siguiente manera:
Estos, a su vez, dependen de los polinomios de Laguerre que se definen de la manera siguiente:
Tanto los polinomios de Laguerre como los polinomios asociados de Laguerre son polinomios ortogonales.
PROBLEMA: Obténgase la solución a la ecuación de onda radial de un potencial esféricamente simétrico para el caso n = 1 y l = 0 utilizando las definiciones dadas arriba. Hacer asimismo una gráfica de esta función de onda utilizando para la variable independiente (la abcisa) múltiplos enteros del radio de Bohr, yendo desde r = 0 hasta r = 6a0.
El polinomio asociado de Laguerre que requerimos en este caso se obtiene de la siguiente manera mediante la aplicación directa de la definición dada arriba:
Teniendo el polinomio asociado de Laguerre, la función de onda radial se evalúa del modo siguiente de acuerdo con la fórmula dada arriba:
La gráfica de esta función de onda radial es la siguiente:
La combinación de los números cuánticos n = 1 y l = 0 es simbolizada como el estado 1s.
PROBLEMA: Obténgase la solución a la ecuación de onda radial de un potencial esféricamente simétrico para el caso n = 2 y l = 0 utilizando las definiciones dadas arriba. Hacer asimismo una gráfica de esta función de onda utilizando para la variable independiente (la abcisa) múltiplos enteros del radio de Bohr, yendo desde r = 0 hasta r = 12a0.
Procediendo de la misma manera que en el problema anterior, empezamos con la obtención del polinomio asociado de Laguerre que requerimos para este caso para n = 2 y l = 0:
Teniendo el polinomio asociado de Laguerre, la función de onda radial se evalúa del modo siguiente de acuerdo con la fórmula dada arriba:
La gráfica de esta función de onda radial es la siguiente:
La combinación de los números cuánticos n = 2 y l = 0 es simbolizada como el estado 2s.
PROBLEMA: Obténgase la solución a la ecuación de onda radial de un potencial esféricamente simétrico para el caso n = 2 y l = 1 utilizando las definiciones dadas arriba. Hacer asimismo una gráfica de esta función de onda utilizando para la variable independiente (la abcisa) múltiplos enteros del radio de Bohr, yendo desde r = 0 hasta r = 12a0.
Procediendo de la misma manera que en los problemas anteriores, empezamos con la obtención del polinomio asociado de Laguerre que requerimos para este caso para n = 2 y l = 1:
Teniendo el polinomio asociado de Laguerre, la función de onda radial se evalúa del modo siguiente de acuerdo con la fórmula dada arriba:
La gráfica de esta función de onda radial es la siguiente:
La combinación de los números cuánticos n = 2 y l = 1 es simbolizada como el estado 2p.
En forma similar:
La combinación de los números cuánticos n = 3 y l = 0 es simbolizada como el estado 3s.
La combinación de los números cuánticos n = 3 y l = 1 es simbolizada como el estado 3p.
La combinación de los números cuánticos n = 3 y l = 2 es simbolizada como el estado 3d.
A continuación tenemos una lista abreviada de los polinomios asociados de Laguerre más utilizados:
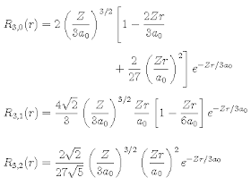
PROBLEMA: Obténganse las funciones de onda radiales para los estados 3s, 3p y 3d.
El procedimiento matemático es el mismo que el utilizado en los problemas anteriores, y no es necesario repetirlo en detalle aquí. Los resultados que se obtienen son los siguientes:
Habiendo resuelto tanto la parte angular como la parte radial de una función de onda para un potencial esféricamente simétrico, tenemos para cada estado la especificación matemática completa de la función de onda que incluye ambas contribuciones.
Para cada combinación de los tres números cuánticos n, l y m hay una notación simbólica para las funciones de onda correspondientes. Esta notación, dada a continuación en los subscriptos de los símbolos que representan las combinaciones posibles de números cuánticos, es la siguiente para las primeras combinaciones:
Usando como simplificación la simbolización:
las expresiones que corresponden a las funciones de onda completas (incorporando tanto la parte angular como la parte radial) cuya notación simbólica se acaba de dar son las siguientes:
La probabilidad de encontrar un electrón en un elemento cúbico de volumen dxdydz es ψ*ψdxdydz, siendo ψ*ψ la probabilidad por unidad de volumen. Para funciones de onda esféricamente simétricas, resulta ventajoso definir una densidad de probabilidad de volumen radial de la manera siguiente: la probabilidad de encontrar un electrón dentro una capa esférica situada entre r y r+dr es igual a:
ψ*ψ4πr²dr
siendo 4πr²dr el volumen de la capa esférica en la cual ψ*ψ tiene el mismo valor constante. El término “densidad de probabilidad radial” generalmente es aplicado a la probabilidad dividida entre 4π veces el espesor de la capa, de modo tal que la densidad de probabilidad radial se toma como r²ψ*ψ. Si para la función de onda radial utilizamos el símbolo R(r), entonces podemos escribir:
ψ = R(r)
ψ* = R*(r)
ψ* = R*(r)
con lo cual la densidad de probabilidad radial se puede denotar como:
r²R*(r)R(r)
o bien, para mayor completitud, incorporando como subscriptos los símbolos para los números cuánticos principales n y l:
r²Rnl*(r)Rnl(r) = r²|Rnl|²
PROBLEMA: ¿Cuál es la probabilidad de encontrar el electrón 1s de un átomo hidrogenoide dentro de una esfera de radio r = 0.5 Angstroms? Repítanse los cálculos para un radio de 0.6 Angstroms, 1 Angstrom, 2 Angstroms y 3 Angstroms.
Utilizando la función de onda radial R1,0(r) obtenida arriba, la evaluación de la probabilidad a partir de la densidad de la probabilidad debe ser llevada a cabo del modo siguiente:
Para el átomo hidrogenoide, Z = 1, con lo cual, substituyendo el valor numérico en Angstroms del radio de Bohr:
Recurriendo ya sea a una integración por partes (dos veces), a tablas de integrales, o a un programa de cómputo como Mathcad o Mathematica, tenemos entonces:
A esto le podemos dar dos interpretaciones: (1) al electrón en el estado 1s lo podemos encontrar dentro de una esfera imaginaria de radio igual a 0.5 Å el 29.4 por ciento del tiempo y el restante 70.6 por ciento del tiempo estará afuera de esta esfera imaginaria; (2) en una gran cantidad de átomos de hidrógeno que formen parte de una colectividad (ensemble) al electrón en el estado 1s lo podemos encontrar dentro de una esfera imaginaria de radio igual 0.5 Å en el 29.4 por ciento de los átomos y en el restante 70.6 por ciento de los átomos estará afuera de la esfera imaginaria. La primera interpretación supone una gran cantidad de mediciones llevadas a cabo en tiempos diferentes sobre un sólo átomo, mientras que la segunda interpretación supone una gran cantidad de mediciones llevadas a cabo posiblemente de manera simultánea sobre átomos distintos.
Para una esfera con un radio igual a 0.6 Å, la probabilidad de encontrar al electrón del estado 1s dentro de dicha esfera será:
Para una esfera con un radio igual a 1.0 Å, la probabilidad de encontrar al electrón del estado 1s dentro de dicha esfera será:
Para una esfera con un radio igual a 2.0 Å, la probabilidad de encontrar al electrón del estado 1s dentro de dicha esfera será:
Finalmente, para una esfera con un radio igual a 3.0 Å, la probabilidad de encontrar al electrón del estado 1s dentro de dicha esfera será:
Este último resultado nos revela que, para fines prácticos, podemos considerar que la probabilidad de encontrar al electrón dentro de una esfera de 3 Å de radio es prácticamente igual a la certeza.
PROBLEMA: Hacer una gráfica de la densidad de probabilidad radial para el estado 1s del hidrógeno utilizando para la variable independiente (la abcisa, r) múltiplos del radio de Bohr a0, yendo desde r = 0 hasta r = 6a0.
Utilizando la función de onda radial obtenida arriba, la gráfica resulta ser:
De igual modo, si graficamos la parte de la densidad de probabilidad que corresponde a las funciones radiales R(r) para las funciones de onda que se han dado al principio utilizando en la variable independiente (la abcisa, r) múltiplos del radio de Bohr a0:
a0 = 0.529 · 10-8 cm. = 0.529 Å
tendremos entonces los siguientes resultados agrupados que podemos comparar entre sí:
Como puede intuírse, del graficado del cuadrado de la función de onda que es lo que nos dá la probabilidad de encontrar al electrón en cierto volumen infinitesimal en la coordenada en la cual se evalúa, obtenemos a continuación las siguientes gráficas tridimensionales de las nubes de probabilidad para los primeros tres orbitales s:
PROBLEMA: Encuéntrese el valor más probable de r (la distancia con respecto al núcleo a la cual hay una mayor probabilidad de encontrar al electrón) para la función de onda 1s del átomo de hidrógeno.
Tomando en cuenta que para la función de onda 1s se tiene n = 1 y l = 0, este es un problema que se resuelve mediante la simple aplicación de la teoría de máximos y mínimos del cálculo diferencial ordinario, tomando la derivada con respecto a la variable independiente r e igualando a cero:
Puesto que:
entonces, desarrollando:
Para el átomo de hidrógeno, Z = 1, con lo cual obtemos el siguiente resultado final que confirma lo que tenemos en la gráfica de arriba para n = 1 y l = 0:
r = a0 = 0.529 Å
Este resultado, tan sencillo como parece, es de importancia trascendental, porque nos dice que la distancia radial a la cual la probabilidad de encontrar un electrón en un átomo que se encuentra en el estado 1s es máxima es igual al radio de Bohr a0. De este modo, la Mecánica Ondulatoria obtiene “casi” el mismo resultado que el resultado original obtenido por Niels Bohr en su modelo atómico planetario. La diferencia en los resultados no es numérica, ya que en ambos casos obtenemos exactamente la misma cantidad. La diferencia es filosófica, ya que mientras que el modelo de Bohr sitúa al electrón en el estado basal de un átomo de hidrógeno a una distancia exacta de 0.529 Å, en la Mecánica Ondulatoria esta es simplemente la distancia a la cual la probabilidad es máxima. Es así como el modelo atómico planetario de Bohr de órbitas precisas especificando capas esféricas precisas es reemplazado por un nuevo modelo que nos dá una imagen “borrosa” del asunto. En realidad, nos volvemos a encontrar con el principio de incertidumbre, aplicado al caso de un problema de simetría esférica. De este modo, para el orbital 1s la probabilidad (distribuída esféricamente en su simetría, de allí el origen del símbolo s que viene del Inglés spherical) de encontrar al electrón adquiere un valor máximo cerca del núcleo atómico, disminuyendo exponencialmente a medida que nos alejamos del núcleo.
PROBLEMA: Encontrar la distancia promedio a la cual se encuentra situado del núcleo el electrón de un átomo hidrogenoide cuando se encuentra en el estado 1s.
La esperanza matemática para la distancia radial estará dada por:
Para el electrón en el estado 1s, utilizando la función de onda radial R1,0(r) obtenida arriba tenemos entonces:
Siendo esta una integral que se encuentra con bastante frecuencia, podemos recurrir a tablas de integrales o a Internet para encontrar el modelo que se ajusta a lo que tenemos arriba, el cual es:
Con esta integral se tiene entonces que:
La esperanza matemática radial (distancia promedio) para un electrón que corresponde al estado 1s en un átomo hidrogenoide resulta ser entonces:
Obsérvese que la distancia promedio a la cual se encuentra situado el electrón del núcleo en el estado 1s no es igual a la distancia más probable (a0 /Z) para dicho estado. Este es uno de los hechos curiosos que se descubren en cualquier curso introductorio de Estadística.
Repitiendo el procedimiento que acabamos de utilizar, podemos generalizar hacia una fórmula que nos dé la distancia radial promedio para cualquier estado, así como obtener otras esperanzas matemáticas que nos puedan resultar de interés, como las siguientes:
PROBLEMA: Encontrar la distancia promedio a la cual se encuentra situado del núcleo el electrón de un átomo de hidrógeno cuando se encuentra en el estado 2s.
Utilizando la fórmula general que se ha dado arriba, y tomando Z = 1 para el átomo de hidrógeno, podemos obtener la respuesta deseada de inmediato:
Como podemos verlo arriba en el diagrama de la nube de probabilidad para el estado 2s, interesantemente para este orbital atómico tenemos lo que parecen ser dos capas y no una sola en las cuales puede estar localizado el electrón individual que corresponde a esta capa, entre las cuales hay un radio para el cual el valor de la función de onda ψ adquiere un valor de cero. ¿Y cómo puede atravesar el electrón la capa esférica que corresponde a este valor de un radio en el cual la función de onda es igual a cero? Pues por el simple hecho de que una distancia fija no representa volumen esférico alguno, ni siquiera infinitesimal, y por lo tanto la probabilidad de encontrar al electrón exactamente en una coordenada debe ser igual a cero. En realidad, las dos capas de las nubes de probabilidad para el estado 2s corresponden a una sola capa de energía. Observamos también que para el orbital 3s hay tres capas en cualquiera de las cuales puede estar localizado el electrón individual, y entre las cuales también hay radios para el cual el valor de la función de onda ψ adquiere un valor de cero.
Como nos lo indican los diagramas de arriba, en general las funciones de onda radiales tienen n-l nodos (lugares en donde R(r) = 0) en donde el origen cuenta como uno de los nodos. La función de onda puede cambiar de signo al pasar por un nodo, pero el cuadrado de la función de onda no cambia de signo. Desde el aspecto puramente matemático, la existencia de nodos es requerida para que los orbitales 1s y 2s (así como los otros orbitales) sean ortogonales, o sea:
∫ψ1s ψ2s dV = 0
siendo dV un elemento infinitesimal de volumen.
En las funciones de onda completas dadas arriba, resulta obvio que las expresiones algebraicas para los estados 1s, 2s y 3s (en general, para cualquier estado s) hay una dependencia radial únicamente, no hay dependencia angular alguna. Pero esto ya no resulta cierto para otros estados en donde las dependencias angulares saltan a la vista, lo cual significa que el graficado tridimensional de las otras funciones de onda ya no mostrarán una simple simetría esférica. Una función de onda tridimensional puede ser representada esquemáticamente mediante una superficie de contorno, definida (aproximadamente) como aquella superficie tridimensional de ψ*ψ constante que encierra la mayor parte de la “nube” de densidad electrónica. Puesto de otra manera, una superficie de contorno encierra aquella región del espacio en donde un electrón que ocupe cierto estado muy probablemente podrá ser encontrado.
El graficado tridimensional de las nubes de probabilidad |ψ|² y las correspondientes superficies de contorno que corresponden a las primeras funciones de onda se pueden representar de una manera como la siguiente (una nube de probabilidad, por su naturaleza propia, siempre tendrá una representación “borrosa”):
Y en lo que respecta a las nubes de probabilidad que corresponden a los estados 3dxy, 3dyz, 3dxz así como las otras dos podemos hacer la siguiente representación esquemática:
Estas son precisamente las mismas representaciones de las superficies de contorno de los orbitales atómicos utilizadas en los textos introductorios de química a nivel universitario, excepto que aquí vemos directamente la génesis de estas representaciones a partir de las ecuaciones que nos proporciona la Mecánica Cuántica como soluciones a la ecuación de Schrödinger con simetría esférica. En rigor de verdad, la representación de la densidad electrónica en función de las tres variables r, θ y φ requeriría de cuatro dimensiones. Una forma de hacerlo es utilizando “puntitos”, o mejor dicho, la densidad de los puntitos, para representar la probabilidad de encontrar a un electrón en cierta región del espacio. Esto es precisamente lo que se ha hecho con los diagramas de las “nubes de probabilidad” dadas arriba. Considerando que la representación dada en un monitor de computadora ni siquiera es tridimensional sino planar, la representación apropiada de estos estados cuánticos es algo que ciertamente presiona a nuestra imaginación hasta el límite.
























































